ru
Combustion dynamics of droplets of aqueous slurries based on coal slime and waste oil
Rheology, ignition, and combustion performance of coal-water slurries: Influence of sequence and methods of mixing
Combustion stages of waste-derived blends burned as pellets, layers, and droplets of slurry
The collisions of droplets and particles at the different initial temperatures
Prospects of Using Gas Hydrates in Power Plants
Mathematical modeling the ignition of several gas hydrate particles
Dissociation characteristics and anthropogenic emissions from the combustion of double gas hydrates
Droplet-droplet, droplet-particle, and droplet-substrate collision behavior
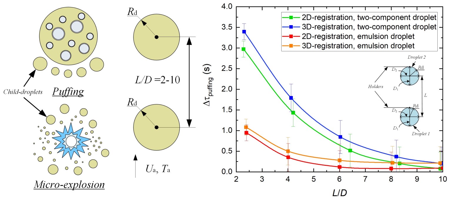
Puffing/micro-explosion of two closely spaced composite droplets in tandem
Relative energy efficiency indicators calculated for high-moisture waste-based fuel blends using multiple-criteria decision-making
Oil-Filled Cryogels: New Approach for Storage and Utilization of Liquid Combustible Wastes
Experimental research of liquid droplets colliding with solid particles in a gaseous medium
Comparison of the characteristics of micro-explosion and ignition of two-fluid water-based droplets, emulsions and suspensions
Influence of the component composition of extinguishing fluids on the droplet distribution in an aerosol cloud
Composition of gas produced from the direct combustion and pyrolysis of biomass
Impact of environmentally attractive additives on the ignition delay times of slurry fuels
Environmental, economic and energetic benefits of using coal and oil processing waste instead of coal to produce the same amount of energy
Critical Conditions for the Ignition of a Gel Fuel under Different Heating Schemes